サジーについて
マイナス40度を生き抜く「奇跡の果実」!サジーがあなたの美容と元気のために栄養を凝縮するワケ
種類によって栄養価が異なるサジー
飲むサジーが「地球を救う?」貧困と砂漠化から人々を守る【サジー産業の壮大な裏側】
サジーの栄養
サジーの含有成分
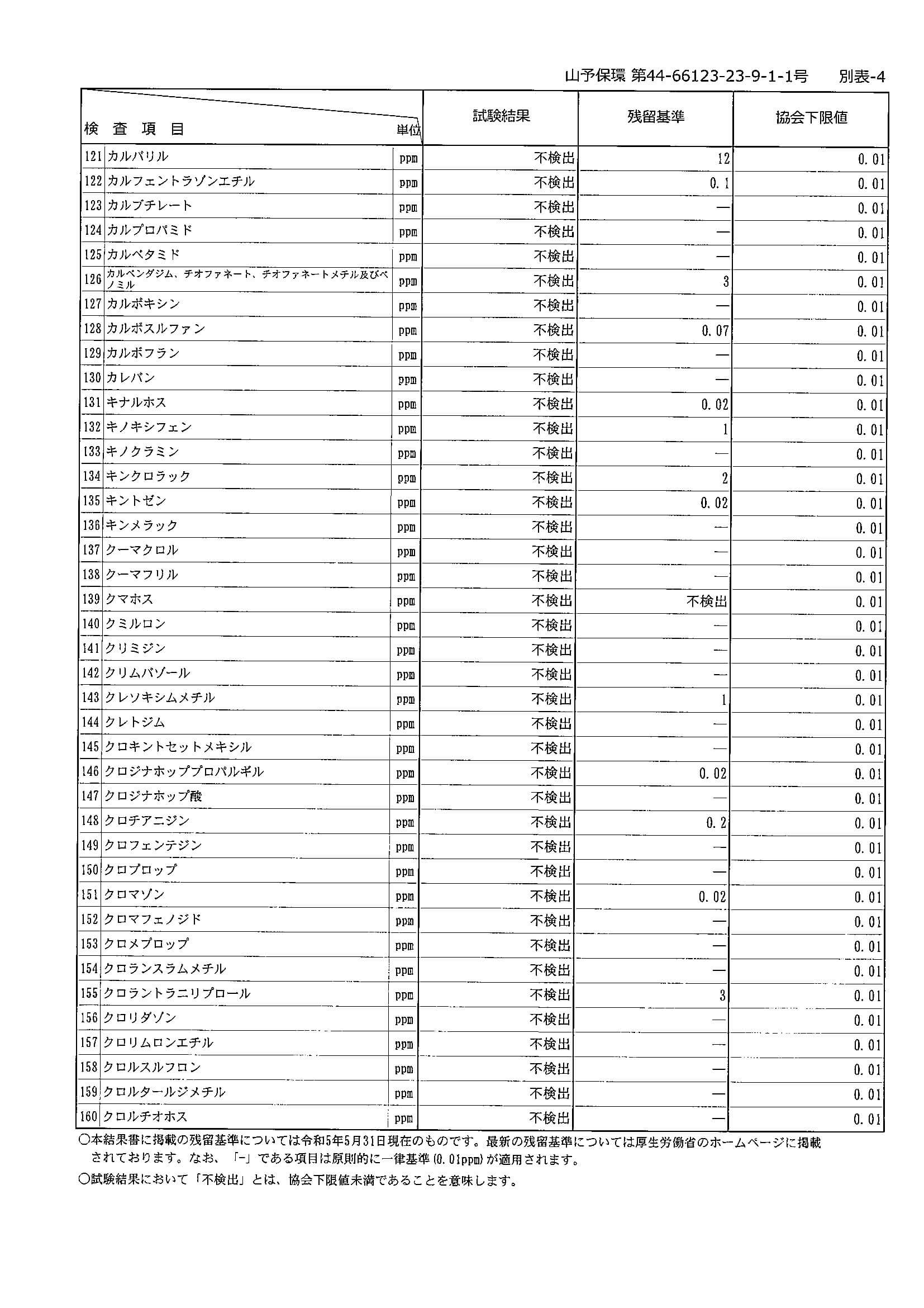
サジージュースの成分分析一覧
サジー果実オイルの栄養素
サジー種子オイルの栄養素
サジー果汁パウダーの栄養素
サジー果皮の栄養素
サジーの安全性
サジーは本当に安全?世界最古の医学と現代の政府機関が証明
「毎日飲むものだから安心したい!」サジージュースがクリアした6つの【究極の安全テスト】
数万種ある植物の中でなぜサジーが選ばれた?昔の人にとって「貴重」だった理由
サジーの歴史
「飢餓と病気の窮地」から生還!三国志の天才軍師・諸葛亮を救った【命の果実】の正体
寒くて乾燥したヒマラヤでなぜ?サジーがインド政府に「地球と人々を救う果実」と認められた秘密
「悲劇の美女」はなぜ美しさを保てた?中国四大美人・王昭君が愛した「美と生命力」の源
【たった一粒の奇跡】サジーを食べるだけで「輝く毛並み」を手に入れた!3000年前のギリシャの言い伝え
1988年からサジーが五輪代表選手団の公式飲料に
マイナス40度の世界を生き抜く!サジーが約3000年のチベット医学で「薬草」として選ばれた理由
世界最大帝国を築いた秘密!チンギスハンが「3つの宝物」の一つにサジーを選んだ理由
宇宙飛行士の健康を支えたサジー:旧ソ連が「国家秘密」にした2つの実力
5000年の歴史を持つサジーが「現代医療の視点」からも注目される、インド医師協会の結論とは?
世界最悪の原子力事故でサジーが果たした功績とは?カナダの政府機関が報じた真実
サジーの研究
【血液検査値も改善】サジーが「悪玉コレステロールと中性脂肪」を有意に下げた研究結果
実は「葉」がすごかった!サジーの葉の力で、体内の”悪玉物質”をブロックし【頑張りすぎた体を助ける】新発見
【コレステロールが高めの方へ】サジーが善玉(HDL)を増やして、悪玉(LDL)を減らす?!
「乾燥が止まらない」悩みに朗報!サジーで肌の奥から【うるおい満タン】になったヒト試験の結果
【抗疲労】運動負荷に対する抗疲労効果
【たった2ヶ月】サジーオイルが「総コレステロールと血圧」を有意に下げた臨床試験のすごい結果
【抗動脈硬化作用】血中コレステロールの減少
【目の保護作用】ドライアイの改善
ダイエットの鍵は肝臓だった!サジーの葉が持つ【太りにくい体質】を叶える秘密
【更年期の女性98名が実証】サジーオイルが「膣の不快感」を和らげ、健康指標を改善した結果
【美容の大敵】細胞の”自爆スイッチ”を止めろ!サジーのフラボンがDNAを守った驚きの研究結果
「なんとなくダルい」のは体内のSOS?サジーの葉が肝臓の異常数値と【サビつき】を抑えた研究
「なんとなくダルい」のは腎臓のSOSかも?サジーの葉が、腎臓の細胞損傷を軽くした驚きの保護力
ダイエットの天敵「内臓脂肪」に勝つ!サジー葉茶が持つ、体のサビつきも防ぐダブル効果
【抗酸化作用】運動負荷による疲労の軽減
【体のサビつき】は心臓にも悪影響!サジーオイルが「心臓の異常」を軽減させた研究結果
【皮膚保護作用】アトピー性皮膚炎の改善
【皮膚保護作用】乾燥の軽減
「シミ・くすみ」の悩みはこれ!サジーの【種子の残りかす】に隠された美白パワー
【皮膚保護作用】紫外線からの保護
【胃保護作用】胃潰瘍の改善
【抗菌作用】メチシリン耐性黄色ブドウ球菌に対する抗菌活性
体の奥から元気を取り戻す!サジーが肝臓の「硬化のサイン」を減少させた臨床試験
体の「サビつき」を放っておかないで!サジーの抗酸化作用を検証!
体内の“サビ”を放置しないで!サジーが持つ、細胞レベルで健康を守るための力
【抗肥満】ウエスト周囲径の減少
【血液】血小板の抗接着作用
ストレスや環境のダメージから守る!サジーが肝臓の「悪玉物質の増加」を食い止めた方法
サジーの特許
【特許情報】鉄および/またはカルシウムの吸収促進剤
【特許情報】エリスロポエチン産生促進剤
【特許情報】ヘルパーT細胞増加剤およびヘルパーT細胞増加用の食品組成物
【特許情報】エリスロポエチン産生促進剤
【特許情報】皮膚保湿剤および皮膚バリア機能改善剤
【特許情報】空腹感緩和剤
【特許情報】サジー種子オイルを含有する遺伝子の発現増強剤
【特許情報】5α-リダクターゼ阻害剤、アンドロゲン受容体結合阻害剤、前立腺肥大症抑制剤、育毛剤およびニキビ予防・改善剤
【特許情報】認知機能改善剤
【特許情報】サジーの果皮由来成分含有組成物
ホーム
/
残留農薬検査
お問い合わせ
日本サジー協会専用のお問い合わせフォーム
人気の記事一覧
サジージュースの成分分析一覧
133,395件のビュー
マイナス40度を生き抜く「奇跡の果実」!サジーがあなたの美容と元気のために栄養を凝縮するワケ
94,254件のビュー
「悲劇の美女」はなぜ美しさを保てた?中国四大美人・王昭君が愛した「美と生命力」の源
9,071件のビュー
サジーの含有成分
8,475件のビュー
種類によって栄養価が異なるサジー
8,140件のビュー
協会会員一覧
5,611件のビュー
日本サジー協会について
5,093件のビュー
サジー果皮の栄養素
4,966件のビュー